The use of shareholder proposals as a tool of activist investors has seen a significant increase in the past year. The Harvard Law School Forum on Corporate Governance noted that 538 proposals were voted upon in the first half of 2022, compared to 385 in the first half of 2021.
For the unfamiliar, a shareholder proposal is a recommendation for a company or its board of directors to take action that will be presented at the annual meeting of the company’s shareholders. Shareholder proposals are non-binding, which means management is not required to take action on them if they win majority support. However, proposals that garner significant shareholder support are expected to be addressed and discussed.
The nature of a shareholder proposal can be many things, from allowing virtual attendance to animal welfare to racial equity to political lobbying. In this post, we are focusing on pay-related shareholder proposals, with a specific focus on severance pay.
Shareholder proposals on executive pay
In a recent analysis of securities filings, Hudson Labs has found that compensation-related shareholder proposals have risen over the last few years.
Compensation-Related Shareholder Proposals are Rising

Source: Hudson Labs analysis of securities filings
For example, occasionally, shareholders want to consider the salaries of other company employees in setting CEO pay because of concerns about increasing inequality. In one instance in 2020, 3M received a shareholder proposal “request[ing] that the Compensation Committee of the Board of Directors take into consideration the pay grades and/or salary ranges of all classifications of Company employees when setting target amounts for CEO compensation.”
Elsewhere, shareholder proposals in 2019 requested healthcare companies like Johnson & Johnson, Pfizer, and Vertex Pharmaceuticals to report on how public perception of drug pricing was integrated into its executive compensation policies.
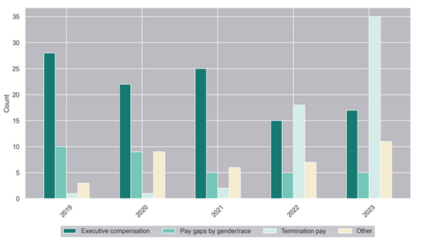
These types of proposals have been falling in 2022 and 2023, while compensation-related proposals around termination pay have been on the rise.
Compensation-Related Shareholder Proposals by Category

Source: Hudson Labs analysis of securities filings
As the chart above shows, the number of severance-related proposals have increased exponentially in just a few years. Hudson Labs' analysis of securities filings found only a single termination/severance shareholder proposal in 2019 and 2020 (Verizon). In 2021, the analysis found a similar proposal for FedEx, with 58% of shareholders voting in favor. Several other companies received severance pay proposals in 2022 and 2023. Other companies whose majority of shareholders voted for the proposal include AbbVie, Spirit AeroSystems, Alaska Air, and Fiserv. Here is an excerpt of the text for a proposal made to Verizon in 2022:
Verizon shareholders urge the Board to seek shareholder approval of any senior executive officer’s new or renewed compensation package that provides for severance or termination payments with an estimated total value exceeding 2.99 times the sum of the executive’s base salary plus target short-term bonus.
These proposals are mostly being made at mid- and large-cap companies, with industrials being the most common sector, followed by technology and healthcare:
Sectors with Shareholder Proposals on Termination Pay in 2022 and 2023 
Source: Hudson Labs analysis of securities filings
We can only speculate why there has been such a significant increase in shareholder proposals around approving executive severance pay or why they’ve attracted so much support. Here’s an example of the rationale from Fiserv:
Generous performance-based pay can be good but shareholder ratification of “golden parachute” severance packages with a total cost exceeding 2.99 times base salary plus target short-term bonus better aligns management pay with shareholder interests.
For instance at one company if the CEO is terminated without cause, whether or not his termination follows a change in control, he will receive $39 million in termination payments, nearly 7-times his base salary plus short-term bonus.
It is in the best interest of Fiserv shareholders to be protected from such lavish management termination packages for one person.
Similarly, here’s a portion of the supporting statement from the 2020 proposal made to Verizon arguing that the current policy was too generous:
A decade ago, following a 59% shareholder vote in favor, Verizon adopted a policy to seek shareholder approval for severance with a “cash value” in excess of 2.99 times salary plus target short-term bonus. But the current policy has a huge loophole: It excludes the value of the accelerated vesting of performance shares (PSUs) and restricted stock RSUs), including accrued dividends, from the total cost calculation that triggers the need for shareholder ratification.
If a senior executive terminates following a “change in control,” all outstanding PSUs immediately “vest at the target level performance”[...]. Had the executive not terminated, PSUs would not vest or pay out until the end of the performance period (up to three years later) – and could be worthless if performance or tenure conditions are not satisfied.
This practice effectively waives performance conditions that justify “performance-based” restricted stock.
Limiting executive severance pay could indicate that the company is conscious of the bad optics of large payouts. However, it has been noted that limiting severance pay could also lead to unintended consequences. If, for example, severance pay becomes more limited, executives may be less likely to pursue mergers where shareholder value could be significantly increased, but their own job security may come under threat.
Hudson Labs will be rolling out coverage of proxies next quarter. We also extract governance-related red flags from SEC filingsdisclosed in 10-K, 10-Q, and 8-K filings. These help determine a company’s governance-specific risk score, which is highly predictive of poor performance at larger companies.
Read ‘Governance (sometimes) matters’ to learn more.
Hudson Labs is entering thefinancial AI-driven summarization race**,** starting with auto-generated company background memos. Earnings summarization and more coming soon!
Our CTO, Suhas Pai, is currently writing a book on building LLM applications, to be published with O'Reilly Media. More to follow!
Get content like this straight to your inbox. Subscribe to our newsletter on Substack**.